Elevador e inversor de voltaje

Electrónica aplicada – Elevador e inversor de voltaje conmutado sin inductores

Electrónica aplicada – Elevador e inversor de voltaje conmutado sin inductores

Introducción

Bienvenido a este nuevo artículo del blog de mi sitio web, donde hablaré sobre el elevador e inversor conmutado sin inductores, como trabaja y para que nos será útil.

Elevador e inversor de voltaje

Resumen

En este artículo veremos como no solamente se puede aumentar el voltaje de alimentación, sino también como se puede obtener un riel de voltaje negativo, solamente con un tren de pulsos de frecuencia, capacitores y unos cuantos diodos. Aparte de esto mostrar las ventajas y cualidades que se tiene al trabajar con un circuito de estos. Mostraré además el plano esquemático para su implementación.

Contenido

electrónica aplicada – Elevador e inversor de voltaje conmutado sin inductores 1

Introducción 1

Resumen 1

Definición 2

Antecedentes 2

Modelos actuales y sus problemas 2

Mejoras presentadas 2

Instrucción teórica 2

Muestra y explicación del plano 2

Fórmulas y ecuaciones matemáticas de diseño 5

Instrucción práctica 5

Muestra de la simulación 5

Aplicación de las fórmulas para el diseño 5

Comprobación del funcionamiento 5

Aplicaciones 5

Comparaciones y similitudes 5

Ventajas y desventajas 5

Ventajas 5

Desventajas 5

Conclusiones 6

Referencias 6

Definición

Un Elevador e inversor de voltaje conmutado sin inductores es simplemente un circuito que por medio de una señal de reloj o señal de frecuencia de onda cuadrada y unos diodos y capacitores, llega a doblar el voltaje de la alimentación de señal, y no solamente eso, sino que también puede invertirla de polaridad.

A groso modo, es u circuito simple de elevación de tensión y de inversión de esta misma.

Antecedentes

Modelos actuales y sus problemas

En esta parte mostraré las falencias que poseen algunos circuitos del elevador e inversor conmutado sin inversores que han hecho otros autores.

  • Para los que usan el 555, existe una salida de muy alta impedancia, por lo tanto, la potencia que estos suministran suele ser muy baja, por lo tanto, su eficiencia es menor además de que el 555 corre el riesgo de quemarse.
  • En realidad, no aprecian las caídas de tensión en los conmutadores, en este caso los transistores que más a continuación miraremos en el circuito.
  • Solo muestran una sola estación de conversión, no mostrando que se pueden utilizar más estaciones para elevar más el voltaje e invertirlo.

Mejoras presentadas

  • Se optó por utilizar un arreglo de transistores para reducir impedancias y otorgar mayor potencia de salida, es decir, elevar la corriente de entrega y así evitar el daño en el generador de reloj.
  • Mostrar las caídas de tensión y solucionar este problema, para ser más cercano a lo real.
  • Se usan más estaciones de conversión para dar mayor ganancia.

Instrucción teórica

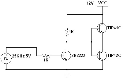
Muestra y explicación del plano

Tenemos acá el plano que se tiene para nuestro modelo, esta vez no apoyamos de los transistores en modo par complementario, es decir NPN y PNP con emisor común como salida; antes de esta parte está el circuito de inversión de señal y de subida de nivel presentada con el transistor NPN 2N2222 al estar activo la señal será cero, pero al estar inactivo su señal valdrá los 12 voltios de la fuente.

Elevador e inversor de voltaje

Figura 1: Circuito de inversión de señal y par complementario

Continuamos viendo la parte de la salida del par complementario, es de fijarse que la primera configuración de acá, es correspondiente a la de doblador de voltaje, ¿cómo funciona?, pues simplemente al estar los 11.3 voltios, porque ya hay que contar con la caída de tensión de base emisor de los transistores TIP41C, al llegar al capacitor cerámico de 1uf se cargará respectivamente a través del circuito de salida hasta el capacitor polarizado, una vez este estará ya cargado.

Elevador e inversor de voltaje

Figura 2: Circuito en carga

Al invertirse la señal, es decir de 11.3 pasa a 0, el voltaje de la fuente que, al pasar por el diodo superior, o sea de 11.3 voltios también, cargará la placa inversa de capacitor de 1uf, haciendo que el voltaje presente en él, sea 11.3V, pero inversos.

Elevador e inversor de voltaje

Figura 3: Circuito en carga a cero de señal

Cuando la señal vuelva a estar a los 12V, los 11.3V de la señal se sumarán a los 11.3V que se cargaron previamente en el capacitor y se sumaran, obteniendo así el doble de voltaje, 22.6V; igual a pasar por el diodo de salida, disminuirá a 21.9V aproximadamente.

Elevador e inversor de voltaje

Figura 4: Circuito de carga al doble

El capacitor electrolítico, mantendrá el voltaje más estable.

Para el caso del inversor de voltaje, se optó por utilizar el riel de voltaje ya doblado o elevado, para que en su salida se obtenga un voltaje negativo mayor a los 12V.

Esta parte trabaja como un cambiador de nivel donde se ha hecho un vídeo acá.

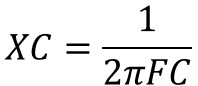
Fórmulas y ecuaciones matemáticas de diseño

Lo que tenemos que tener en cuenta, es que, en el caso de este circuito, la frecuencia si tiene un papel muy importante para el desempeño y la potencia de este dispositivo.

Lo podemos demostrar con la fórmula que nos muestra la impedancia del capacitor, este capacitor es referido al de 1uf que está en la salida del par complementario.

Elevador e inversor de voltaje

Lógicamente, es de apreciarse que al elevarse la frecuencia la impedancia XC disminuirá bastante.

Aplicaciones

  • Dualizar fuentes, al menos para alimentar circuitos básicos ya que este se puede usar no solo para el aumento de la tensión, sino para su inversión, quedando así, dos rieles de voltaje.
  • Para implementación de referencias de voltaje.

Comparaciones y similitudes

Ventajas y desventajas

Como todo en esta vida y más en esta profesión de la electrónica, estén los pros y los contras, por eso se mencionan algunas ventajas y desventajas del elevador e inversor de voltaje conmutado sin inductores.

Ventajas

  • No depende del ancho de pulso exclusivamente, por lo tanto, se puede trabajar a 50 – 50; lo que de hecho es muy bueno, ya que no se necesitan usar circuitos integrados complejos o caros.
  • Componentes de bajo precio y fáciles de conseguir.
  • El circuito no es muy complicado de entender.

Desventajas

  • Depende de la frecuencia, a mayor frecuencia mejor desempeño; realmente con los sistemas electrónicos de ahora, esto no es una verdadera desventaja.
  • En ciertos casos el circuito puede llegar a ser algo grande, y más cuando se usan más etapas de elevación e inversión de voltaje.

Conclusiones

  • Este sistema presenta mayor entrega de potencia, pues reduce mucho la impedancia con la ayuda de capacitores y aún más cuando se usa una frecuencia más elevada.
  • Amplio rango de frecuencias.
  • No requiere PWM.

Referencias

Este es un diseño propio y experimental del autor de este artículo.

Deja un comentario

Tu dirección de correo electrónico no será publicada. Los campos obligatorios están marcados con *

Carrito de compra